Chris Crawford
Fitting Digital Signals in Real-Time using the Magic of Convolutions

APS DNP talk, April 2019
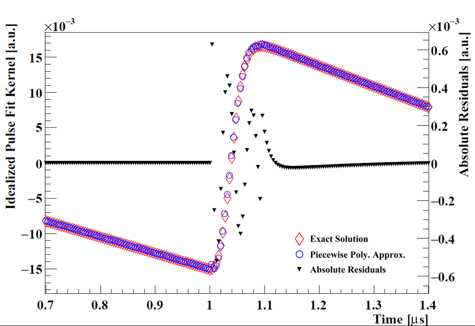
With the availability of cost-effective digitizers and powerful pipeline processors, modern spectroscopy can be performed completely in the digital domain with minimal front-end analog signal processing. These systems offer the flexibility and extensibility of digital signal processing algorithms to simultaneously extract multiple waveform parameters such as pulse height and start time. However, up until now, the computationally intensive task of pulse fitting has traditionally been performed offline on computing clusters to obtain the final spectra. This research proposes new algorithms to perform these least-squares fits to template waveforms in real time on Field Programmable Gate Arrays (FPGAs) and GPUs. They will be used to enhance online spectroscopy of gamma rays in nuclear experiments with up to 10^16 events to analyze.

Supported by grants from NSF, Department of Energy, KY Science and Technology Co Inc
